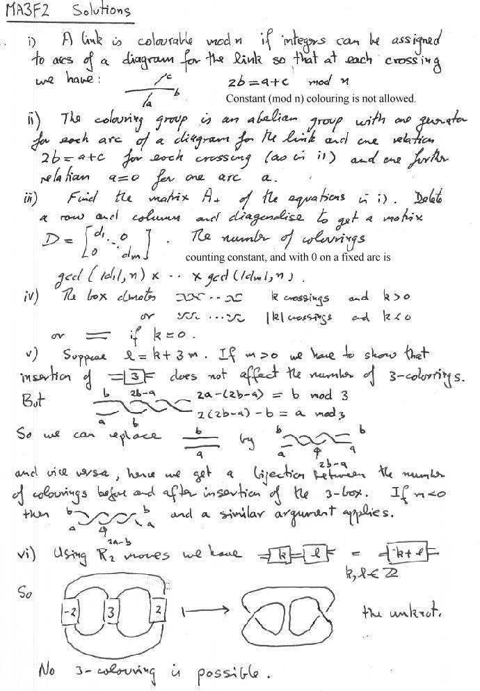
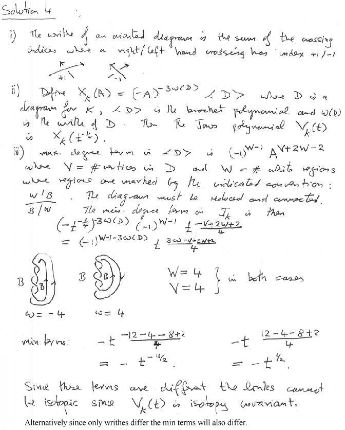
Solutions 2001