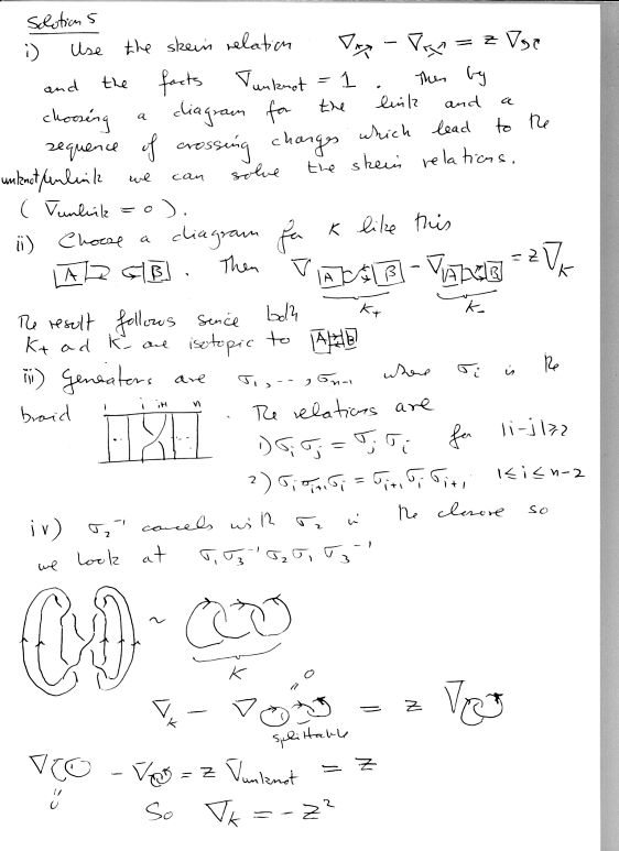
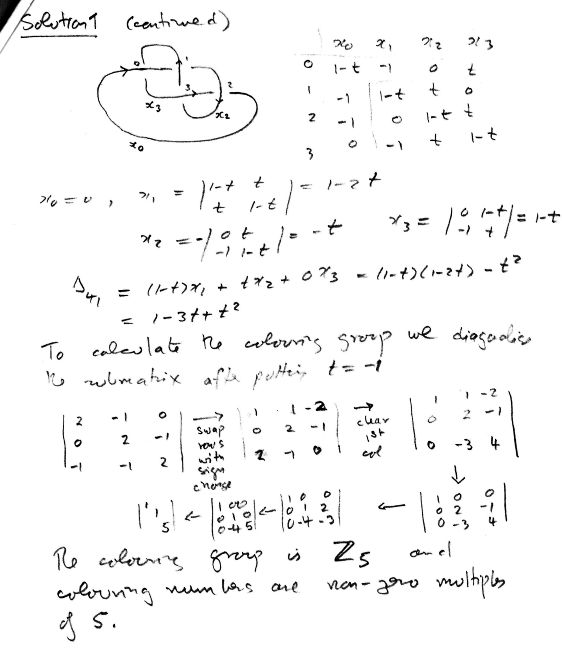
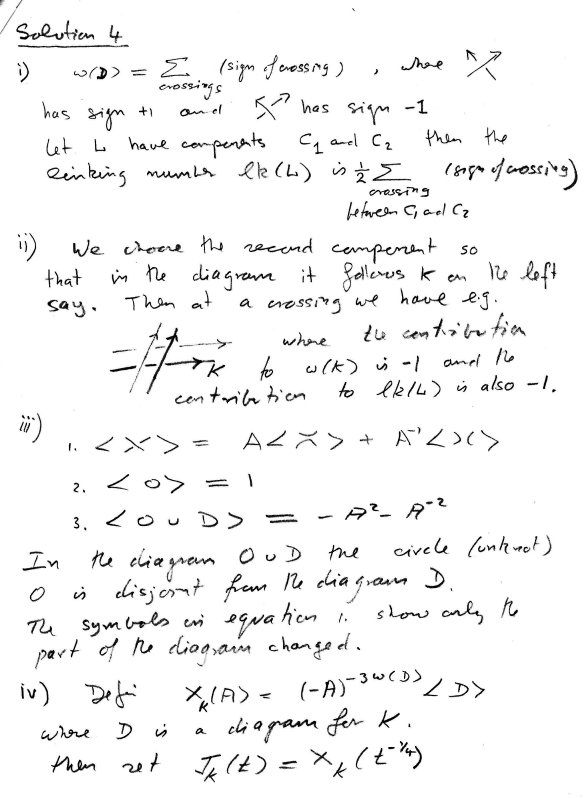
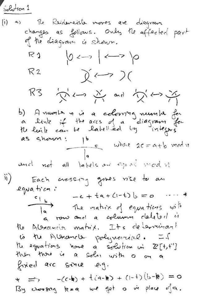
Solutions 2002