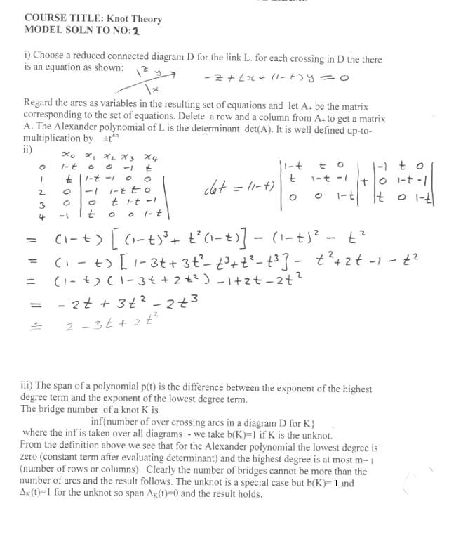
Solutions 2003