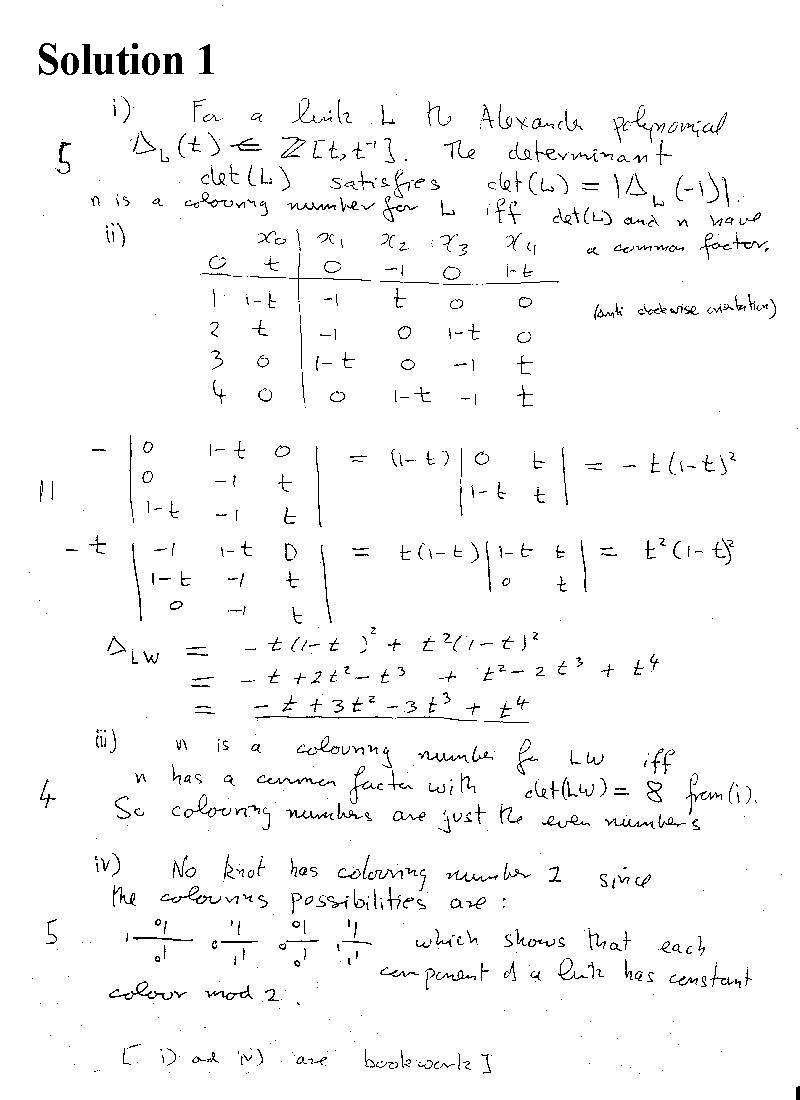
Solutions 2004