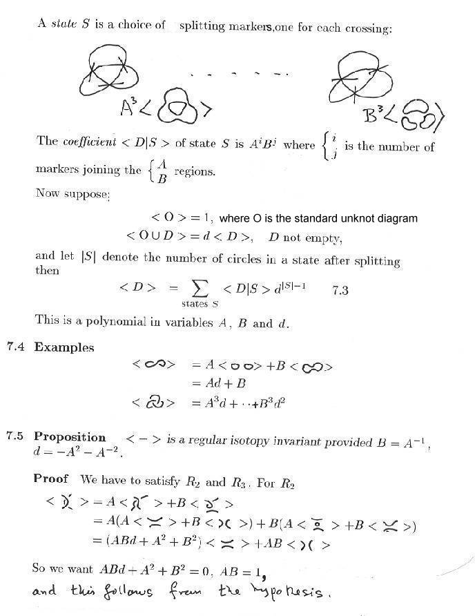
Previous lecture
   
Next lecture