A DOS Jones polynomial calculator, and a Java Jones polynomial calculator. For Kinoshita-Terasaka and Conway see exam 98 solution to 3 iv). Links which the Jones polynomial cannot distinguish from the trivial link do exist. See Thistlethwaite.    A popular article can be found here: Jones, Vaughan F. R. KNOT THEORY AND STATISTICAL MECHANICS; Scientific American, November 1990, page 52.
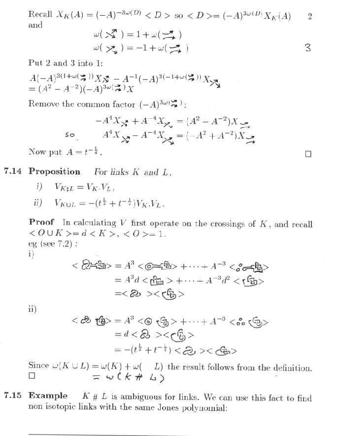
Previous lecture    Next lecture    MA3F2 page